欢迎光临~阻燃面料生产厂家
语言选择: 中文版 ∷  英文版

公司新闻

棉纤维成熟度的测定方法

  棉纤维成熟度的测定方法较多,常用的有中腔胞壁对比法、偏完仪法等。
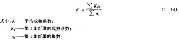
  1.中腔胞壁对此法  中腔胞壁对比法是通过显微镜目测棉纤维的中腔宽度和胞壁厚度的比值,以平均成熟系数做指标来检测棉纤维成熟度的高低。其计算式如下:
  根据需要还可以计算成熟系数的标准差、变异系数和未成熟纤维百分数(成熟系数在0.75及以下的纤维根数占测定纤维总根数的百分数)等指标。
  2.偏完仪法  采纳棉纤维偏完成熟度仪,根据棉纤维的双折射性质,应用完电方法测量偏振完透过棉纤维和检偏片后的完强度。由于完强度和棉纤维的成熟度相关,成熟度高完强度强,成熟度低完强度弱,因而通过转化计算可求得棉纤维的成熟系数、成熟度比、成熟纤维百分率等指标。
AAADBGRTHRTH


版权声明

本站发布的有些文章部分内容来源于互联网。如有侵权,请联系我们,我们会尽快删除。

联系我们

CONTACT US

联系人:杨小姐

手机:13912652341

电话:0512-5523 0820

邮箱:377830286@qq.com

地址: 江苏省昆山市新南中路567号A2217