欢迎光临~阻燃面料生产厂家
语言选择: 中文版 ∷  英文版

公司新闻

初始模员棚纤维柔颗性系数

  (一)初始模量
  初始模量是指纤维负荷一伸长曲线上起始一段(纤维基本伸直后拉伸的一段)较直部分伸直延长线上应力应变之比。如图1—2所示,在曲线起始较直部分的宜线上延至和断裂点水平线相交于e点,过e点作横坐标的垂线相交于Le点,根据Pa、Le和该纤维的线密度Tt和试样长度L(即强力机上下夹持器间的距离,mm),可求得初始模量E,单位为N/tex。
  初始模量的大小表示纤维在小负荷作用下变形的难易程度,它反映了纤维的刚性。初始模量大,表示纤维在小负荷作用下不易变形,刚性较好,其制品也比较挺括;反之,初始模量小,表示纤维在小负荷作用下简单变形,刚性较差,其制品比较软。几种常见纤维的初始模量见表1—5。
  表1—5中,涤纶的初始模量高,湿态时几乎和干态相同,所以涤纶织物挺括,而且免烫性能好。富强纤维初始模量干态时也较高,但湿态时下降较多,所以免烫性能差。锦纶初始模量低,所以织物较软,没有身骨。羊毛的初始模量比较低,故具有柔软的手感;棉的初始模量较高,而麻纤维更高,所以具有手感硬的特征。
  (二)纤维柔顺性系数
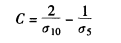
  在英、美国家常常用到纤维柔顺性系数c这个指标,其公式如下:
  c=0,说明拉伸曲线是直线形的,这时往往柔顺性差,要结合初始模量方可正确判定;对于某些纤维,如聚酰胺纤维,c<0,说明拉伸曲线是下凹形的,柔顺性好;若c>0,说明拉伸曲线是上凸形的,柔顺性较差,但可塑性能较好。c值越高,可塑性越大。
AAAFGBHGYUTKU


版权声明

本站发布的有些文章部分内容来源于互联网。如有侵权,请联系我们,我们会尽快删除。

联系我们

CONTACT US

联系人:杨小姐

手机:13912652341

电话:0512-5523 0820

邮箱:377830286@qq.com

地址: 江苏省昆山市新南中路567号A2217